Thermodynamics of the Ramsey Zone
Carregando...
Data
Título da Revista
ISSN da Revista
Título de Volume
Editor
Universidade Federal de São Carlos
Resumo
Descrição
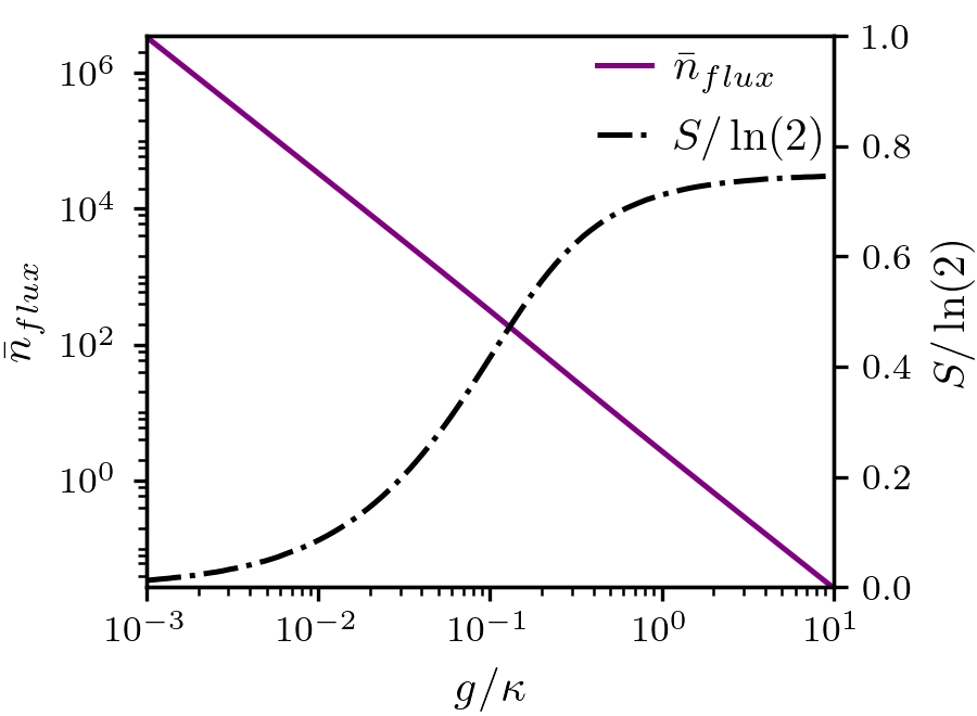
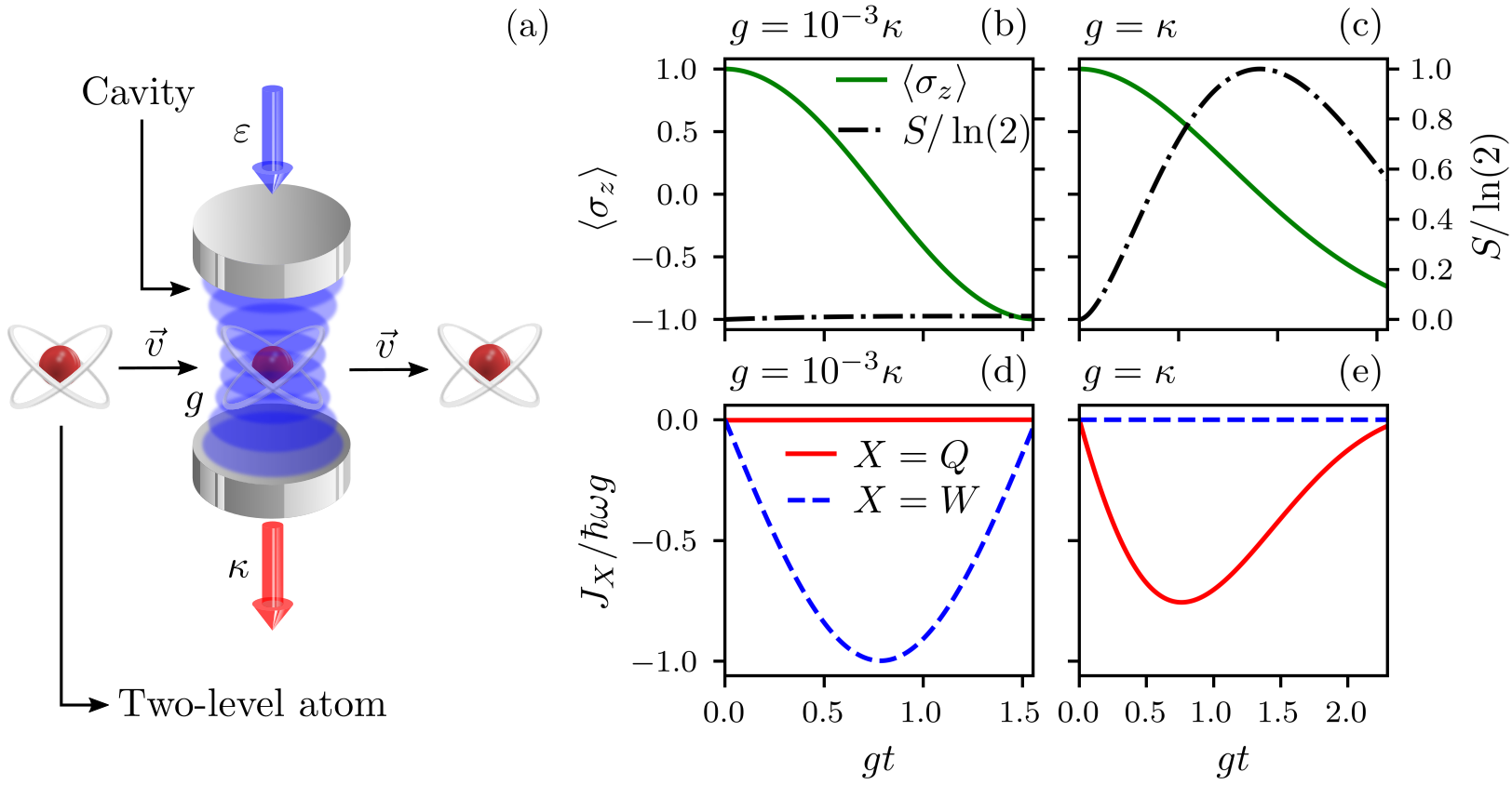
We studied the thermodynamic properties such as the entropy, heat (𝐽𝑄), and work (𝐽𝑊) rates involved when an atom passes through a Ramsey zone, which consists of a mode field inside a low-quality factor cavity that behaves classically, promoting rotations on the atomic state. Focusing on the atom, we show that 𝐽𝑊 predominates when the atomic rotations are successful, maintaining its maximum purity as computed by the von Neumann entropy. Conversely, 𝐽𝑄 stands out when the atomic state ceases to be pure due to its entanglement with the cavity mode. With this, we interpret the quantum-to-classical transition in light of the heat and work rates. Besides, we show that, for the cavity mode to work as a Ramsey zone (classical field), several photons (of the order of 106) need to cross the cavity, which explains its classical behavior, even when the inside average number of photons is of the order of unity.
Palavras-chave
Citação
DE ASSIS, Rogério Jorge; DINIZ, Ciro Micheletti; DE ALMEIDA, Norton Gomes; VILLAS-BÔAS, Celso Jorge. Thermodynamics of the Ramsey Zone. Repositório Institucional da UFSCar, 2023. Dataset. Disponível em: https://repositorio.ufscar.br/handle/20.500.14289/19324.
Coleções
item.page.endorsement
item.page.review
item.page.supplemented
item.page.referenced
Licença Creative Commons
Exceto quando indicado de outra forma, a licença deste item é descrita como Attribution-NonCommercial-NoDerivs 3.0 Brazil
