Negative temperature is cool for cooling
Carregando...
Data
Título da Revista
ISSN da Revista
Título de Volume
Editor
Universidade Federal de São Carlos
Resumo
Descrição
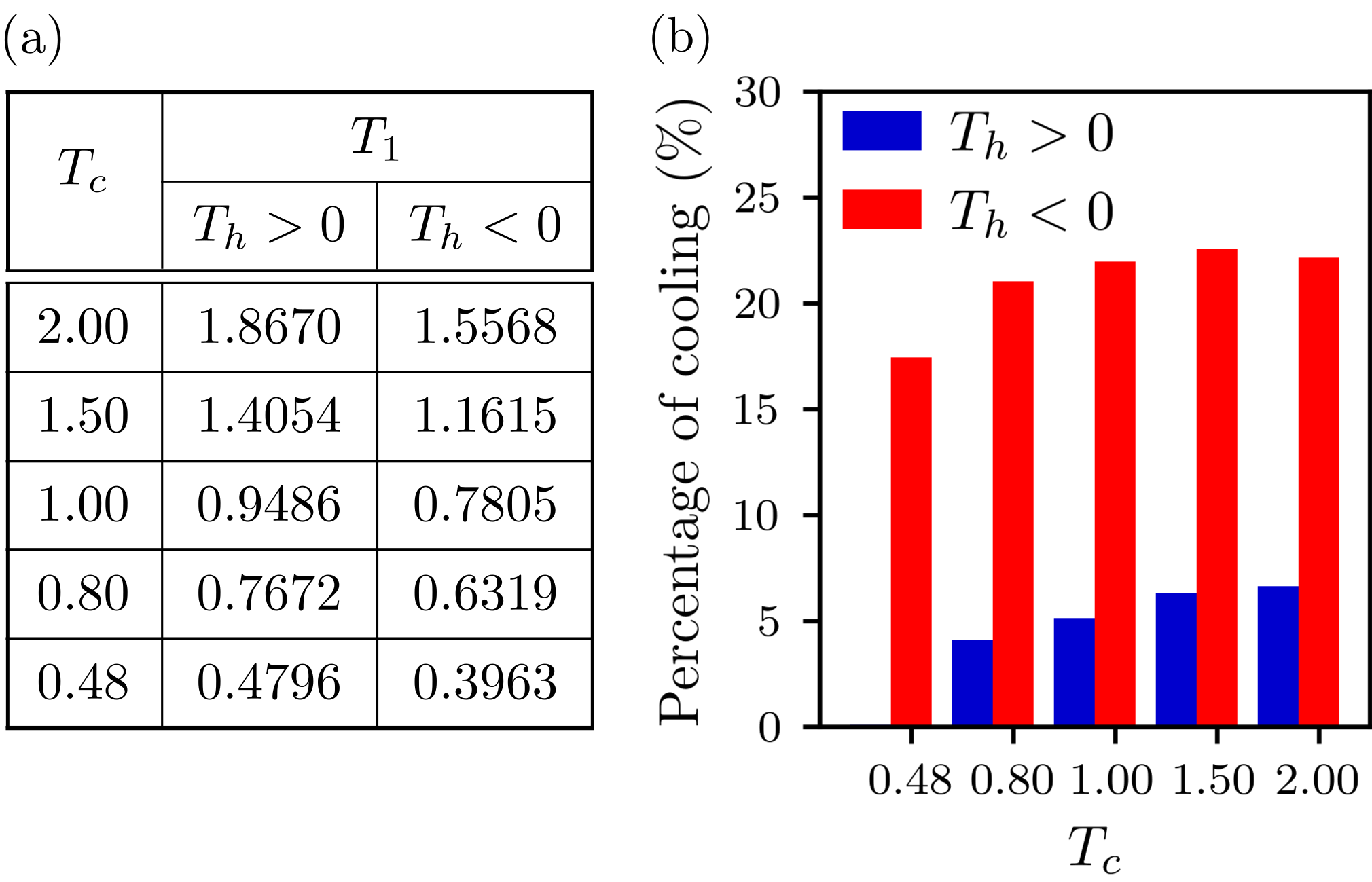
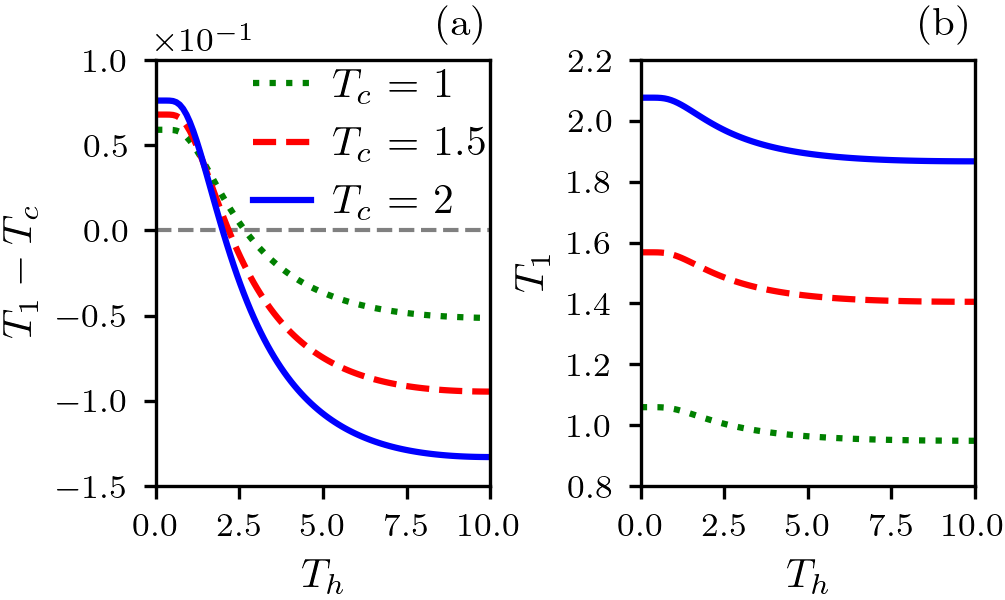
In this work, we study an autonomous refrigerator composed of three qubits operating with one of the reservoirs at negative temperatures, which has the purpose of cooling one of the qubits. We find the values of the lowest possible temperature that the qubit of interest reaches when fixing the relevant parameters, and we also study the limit for cooling the qubit arbitrarily close to absolute zero. We thus proceed to a comparative study showing that reservoirs at effective negative temperatures are more powerful than those at positive temperatures for cooling the qubit of interest.
Citação
DAMAS, Gabriella Gonçalves; DE ASSIS, Rogério Jorge; DE ALMEIDA, Norton Gomes. Negative temperature is cool for cooling. Repositório Institucional da UFSCar, 2023. Dataset. Disponível em: https://repositorio.ufscar.br/handle/20.500.14289/19328.
Coleções
item.page.endorsement
item.page.review
item.page.supplemented
item.page.referenced
Licença Creative Commons
Exceto quando indicado de outra forma, a licença deste item é descrita como Attribution-NonCommercial-NoDerivs 3.0 Brazil
