Optimizing resetting of superconducting qubits
Carregando...
Data
Título da Revista
ISSN da Revista
Título de Volume
Editor
Universidade Federal de São Carlos
Resumo
Descrição
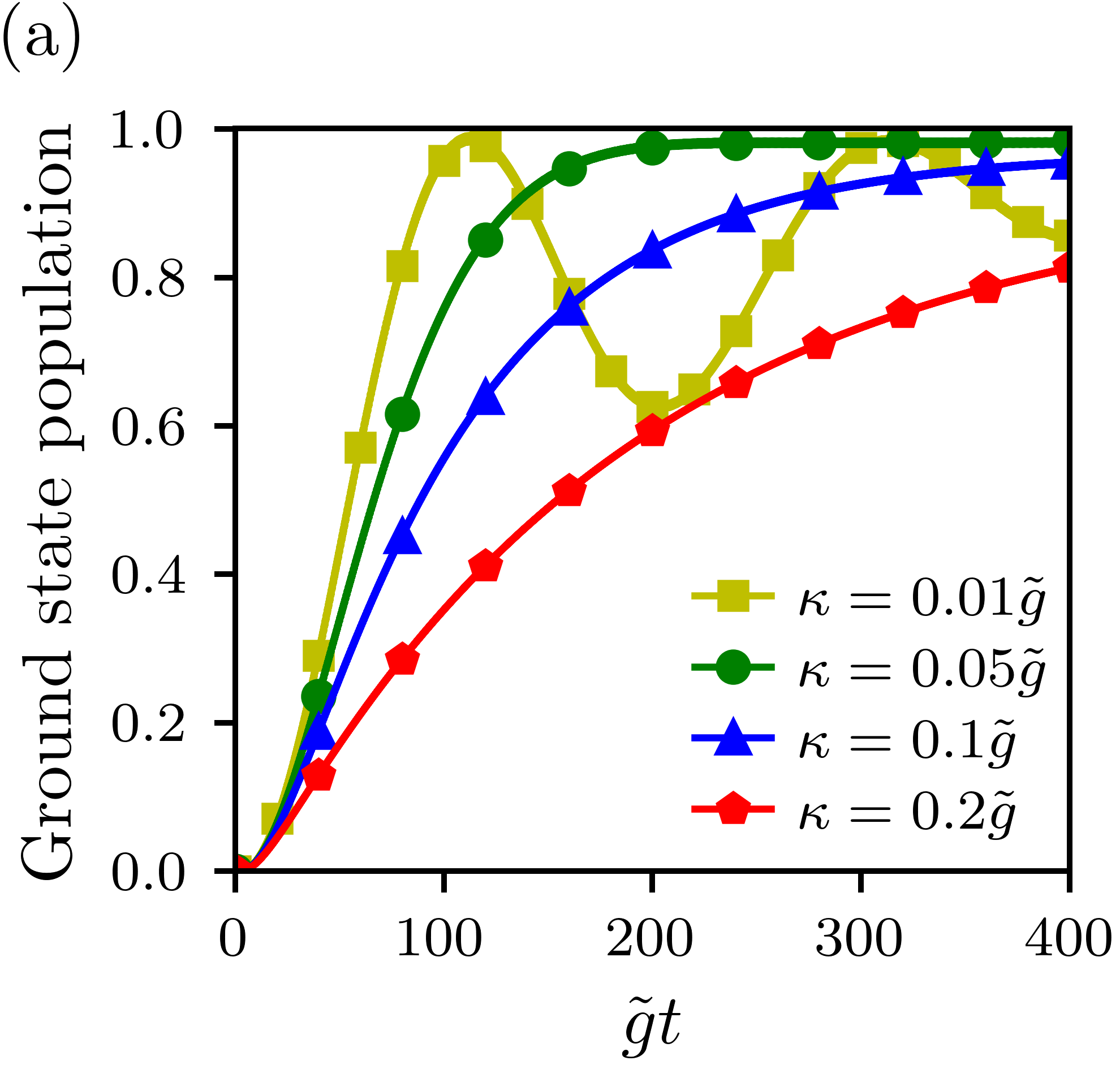
Many quantum algorithms demand a large number of repetitions to obtain reliable statistical results. Thus, at each repetition it is necessary to reset the qubits efficiently and precisely in the shortest possible time, so that quantum computers actually have advantages over classical ones. In this work, we perform a detailed analysis of three different models for information resetting in superconducting qubits. Our experimental setup consists of a main qubit coupled to different auxiliary dissipative systems, which are employed in order to perform the erasure of the information of the main qubit. Our analysis shows that it is not enough to increase the coupling and the dissipation rate associated with the auxiliary systems to decrease the resetting time of the main qubit, a fact that motivates us to find the optimal set of parameters for each studied approach, allowing a significant decrease in the reset time of the three models analyzed.
Citação
DINIZ, Ciro Micheletti; DE ASSIS, Rogério Jorge; DE ALMEIDA, Norton Gomes; VILLAS-BÔAS, Celso Jorge. Optimizing resetting of superconducting qubits. Repositório Institucional da UFSCar, 2023. Dataset. Disponível em: https://repositorio.ufscar.br/handle/20.500.14289/19326.
Coleções
item.page.endorsement
item.page.review
item.page.supplemented
item.page.referenced
Licença Creative Commons
Exceto quando indicado de outra forma, a licença deste item é descrita como Attribution-NonCommercial-NoDerivs 3.0 Brazil
